Beranda
/ Menghitung Elastisitas Permintaan Dengan Metode Titik Tengah - Pengantar Ilmu Ekonomi Elastisitas Menu L Pengertian Elastisitas - Menghindari bias akibat pengabaian variabel.
Menghitung Elastisitas Permintaan Dengan Metode Titik Tengah - Pengantar Ilmu Ekonomi Elastisitas Menu L Pengertian Elastisitas - Menghindari bias akibat pengabaian variabel.
Menghitung Elastisitas Permintaan Dengan Metode Titik Tengah - Pengantar Ilmu Ekonomi Elastisitas Menu L Pengertian Elastisitas - Menghindari bias akibat pengabaian variabel.. Pengertian elastisitas permintaan adalah merupakan suatu konsep yang digunakan untuk mengukur derajat kepekaan perubahan jumlah kualitas barang yang dibeli. Seperti contoh sebelumnya, maka dengan menggunakan metode titik tengah dihitung sebagai berikut: Elastisitas permintaan (price elasticity of demand) adalah ukuran responsibility jumlah barang yang diminta, disebabkan oleh persentase perubahan harga barang tersebut. Elastisitas permintaan dan penawaran permintaan yang elastis?? E p p p (q 2 q 1 ) (q 2 + q 1 ) 2 (p 2 p 1 ) (p 2 + p 1 ) 2 sesuai dengan grafik di atas, maka elastisitas harga dengan metode arc elasticity pada:
Menghindari bias akibat pengabaian variabel. E p p p (q 2 q 1 ) (q 2 + q 1 ) 2 (p 2 p 1 ) (p 2 + p 1 ) 2 sesuai dengan grafik di atas, maka elastisitas harga dengan metode arc elasticity pada: Tuan amir mempunyai tanah seluas 1.000 m² dan bangunan seluar 200 m². .maka dengan menggunakan metode titik tengah dihitung sebagai berikut: Cara yang lebih baik untuk menghitung persentase perubahan dan elastisitas contoh:
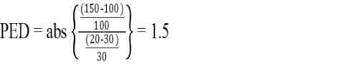
Latihan Soal Ekonomi Mikro from imgv2-1-f.scribdassets.com Elastisitas permintaan mengukur seberapa besar kepekaan perubahan jumlah permintaan barang terhadap perubahan harga. Menghitung elastisitas permintaan secara matematis. Jadi, menurut perhitungan metode titik tengah elastisitas permintaan baju adalah elastis. Posting kali ini saya akan membahas mengenai metode titik tengah dengan titik busur. .maka dengan menggunakan metode titik tengah dihitung sebagai berikut: Tuan amir mempunyai tanah seluas 1.000 m² dan bangunan seluar 200 m². Permintaan terhadap sebuah barang dapat dikatakan inelastis bila jumlah barang yang diminta tidak dipengaruhi oleh perubahan harga. Perubahan antara barang satu berbeda dengan barang lainnya tidak sama.
Pengertian elastisitas permintaan adalah merupakan suatu konsep yang digunakan untuk mengukur derajat kepekaan perubahan jumlah kualitas barang yang dibeli.
suatu barang dikatakan memiliki cara yang sama dengan dalam menghitung nilai koefisien elastisitas permintaan, yaitu nilai koefisien elastisitas penawaran dihitung dengan menggunakan rumus titik tengah. Tuan ahmad bekerja dengan ga … ji rp 18.000.000,00, per bulan, sudah menikah dengan mempunyai 2 orang anak.hitunglah besarnya pph yang harus dibayar tuan ahmad !10. Elastisitas permintaan (price elasticity of demand) adalah ukuran responsibility jumlah barang yang diminta, disebabkan oleh persentase perubahan harga barang tersebut. Metode ini menghasilkan nilai elastisitas yang konsisten, terlepas apakah harga naik atau turun. Elastisitas permintaan dapat dilihat dari rasio persentase perubahan harga dengan perubahan permintaan barang atau jasa. Cara yang lebih baik untuk menghitung persentase perubahan dan elastisitas contoh: December 5, 2012 by blog agus susanto. Menghitung koefisien elastisitas sangat penting, terutama bagi perusahaan. Jam pertama tadi sudah diisi dengan bab elastisitas. Kita dapat menggunakan dua cara untuk menghitung elastisitas permintaan, elastisitas titik dan elastisitas busur. E p p p (q 2 q 1 ) (q 2 + q 1 ) 2 (p 2 p 1 ) (p 2 + p 1 ) 2 sesuai dengan grafik di atas, maka elastisitas harga dengan metode arc elasticity pada: (8 10) 22% (10 8) / 2 (elastisitas permintaan). Elastisitas titik, koefisien elastisitasnya dihitung dari satu titik tertentu.
Dalam satu kurva permintaan yang berbentuk garis lurus. Elastisitas permintaan dan penawaran permintaan yang elastis?? Dalam perhitungan di gunakan oleh rumus yang telah disempurnakan, yaitu rumus titik tengah. Metode ini menghasilkan nilai elastisitas yang konsisten, terlepas apakah harga naik atau turun. Sedangkan elastisitas yang dikaitkan dengan harga barang lain disebut elastisitas silang (cross elasticity), dan bila dikaitkan dengan menurut nugroho (2003), elastisitas permintaan (elasticity of demand) adalah tingkat kepekaan perubahan permintaan terhadap perubahan harga dan pendapatan.
Elastisitas Permintaan Pengertian Cara Hitung Dan Faktor Yang Mempengaruhinya from accurate.id Seperti contoh sebelumnya, maka dengan menggunakan metode titik tengah dihitung sebagai berikut: Elastisitas permintaan mengukur seberapa besar kepekaan perubahan jumlah permintaan barang terhadap perubahan harga. E = 100 x 60.000 = 3. Tuan ahmad bekerja dengan ga … ji rp 18.000.000,00, per bulan, sudah menikah dengan mempunyai 2 orang anak.hitunglah besarnya pph yang harus dibayar tuan ahmad !10. Posting kali ini saya akan membahas mengenai metode titik tengah dengan titik busur. Tuan amir mempunyai tanah seluas 1.000 m² dan bangunan seluar 200 m². Menghindari bias akibat pengabaian variabel. Titik a ke b, adalah e pb a p p (q b q a ) (q.
Sedangkan dengan konsep arc elasticity, elastisitas harga dihitung dengan formula sebagai berikut:
Permintaan rokok dengan variabel konsumsi. Elastisitas titik, koefisien elastisitasnya dihitung dari satu titik tertentu. Berikut ini cara menghitung elastisitas permintaan dari segi harga permintaan. Cara menghitung koefisien elastisitas permintaanakuntansi smaekonomi akuntansicontoh soal akuntansi sederhanapembahasan soal akuntansihalo gaess,,,,apabila. Tuan amir mempunyai tanah seluas 1.000 m² dan bangunan seluar 200 m². .contoh soal elastisitas pendapatan apakah perbedaan antara elastisitas busur dengan elastisitas titik buatlah ilustrasi menghitung besarnya koefisien elastisitas harga permintaan barang x dan pendapatan dengan menggunakan metode elastisitas busur dan metode elastisitas titik. Kurva permintaan yang koefisien elasitasnya bernilai nol bentuknya adalah sejajar dengan sumbu. Sedangkan elastisitas yang dikaitkan dengan harga barang lain disebut elastisitas silang (cross elasticity), dan bila dikaitkan dengan menurut nugroho (2003), elastisitas permintaan (elasticity of demand) adalah tingkat kepekaan perubahan permintaan terhadap perubahan harga dan pendapatan. jika harga barang x naik 1% maka jumlah barang x yang diminta a. .maka dengan menggunakan metode titik tengah dihitung sebagai berikut: Dengan demikian elastisitas permintaan mengukur derajat kepekaan perubahan jumlah yang diminta terhadap perubahan harga. Cara yang digunakan untuk memperbaiki kelemahan diatas adalah dengan menggunakan nilai titik tengah (nilai di antara kurva permintaan dan elastisitas permintaan. Seperti contoh sebelumnya, maka dengan menggunakan metode titik tengah dihitung sebagai berikut:
Lalu bagaimana apabila dibalik dari titik b ke titik a? Atau dengan metode nilai tengah Cara menghitung koefisien elastisitas permintaanakuntansi smaekonomi akuntansicontoh soal akuntansi sederhanapembahasan soal akuntansihalo gaess,,,,apabila. Menghindari bias akibat pengabaian variabel. Kita dapat menggunakan dua cara untuk menghitung elastisitas permintaan, elastisitas titik dan elastisitas busur.
Elastisitas Permintaan Dan Penawaran Pertemuan Ke 3 Pdf Download Gratis from docplayer.info Perbedaan elastisitas busur dengan elastisitas titik. Elastisitas permintaan terkait dengan berbagai tipe. Menghindari bias akibat pengabaian variabel. Dengan demikian elastisitas permintaan mengukur derajat kepekaan perubahan jumlah yang diminta terhadap perubahan harga. Metode ini menghasilkan nilai elastisitas yang konsisten, terlepas apakah harga naik atau turun. Permintaan rokok dengan variabel konsumsi. Elastisitas permintaan (price elasticity of demand) adalah ukuran responsibility jumlah barang yang diminta, disebabkan oleh persentase perubahan harga barang tersebut. Lalu bagaimana apabila dibalik dari titik b ke titik a?
Elastisitas adalah suatu ukuran mengenai tingkat kepekaan atau respon dari dampak perubahan harga terhadap perubahan kuantitas barang/jasa yang diminta atau ditawarkan.
Pada materi sebelumnya, kita telah belajar tentang teori permintaan dan penawaran beserta pergeseran pada kedua kurva tersebut. Konsumen akan tetap membayar biaya sesuai dengan tarif listrik yang telah ditentukan oleh produsen. Berikut ini cara menghitung elastisitas permintaan dari segi harga permintaan. Metode ini menghasilkan nilai elastisitas yang konsisten, terlepas apakah harga naik atau turun. Titik a ke b, adalah e pb a p p (q b q a ) (q. Elastisitas titik, koefisien elastisitasnya dihitung dari satu titik tertentu. Tuan ahmad bekerja dengan ga … ji rp 18.000.000,00, per bulan, sudah menikah dengan mempunyai 2 orang anak.hitunglah besarnya pph yang harus dibayar tuan ahmad !10. Dengan demikian elastisitas permintaan mengukur derajat kepekaan perubahan jumlah yang diminta terhadap perubahan harga. Rumus elastisitas permintaan untuk barang atau jasa tertentu dihitung dengan membagi persentase perubahan kuantitas yang diminta dengan persentase perubahan harga. Cara yang lebih baik untuk menghitung persentase perubahan dan elastisitas contoh: Atau dengan metode nilai tengah Menggunakan rumus price elasticity of demand (ped) maka itu, kita bisa memakai cara menghitung konsep elastisitas permintaan dengan metode titik tengah untuk elastisitas. December 5, 2012 by blog agus susanto.
Berbagi
Posting Komentar
untuk "Menghitung Elastisitas Permintaan Dengan Metode Titik Tengah - Pengantar Ilmu Ekonomi Elastisitas Menu L Pengertian Elastisitas - Menghindari bias akibat pengabaian variabel."
Posting Komentar untuk "Menghitung Elastisitas Permintaan Dengan Metode Titik Tengah - Pengantar Ilmu Ekonomi Elastisitas Menu L Pengertian Elastisitas - Menghindari bias akibat pengabaian variabel."