Lompat ke konten Lompat ke sidebar Lompat ke footer

Faktor Pangkat 3 - Cara Menentukan Hasil Akar Pangkat Tiga Pdf Free Download : Tutorial cara menghitung kuadrat di excel untuk pemula.

Faktor Pangkat 3 - Cara Menentukan Hasil Akar Pangkat Tiga Pdf Free Download : Tutorial cara menghitung kuadrat di excel untuk pemula.. Jadi akar pangkat 3 dari 729 adalah 9 Adapun 30 pati tni yang menerima kenaikan pangkat satu tingkat lebih tinggi sebagai berikut Cara mudah mencari akar pangkat 3 dari ³√64 dan ³√512 secara cepat#shsmartfromhome#akarpangkat3#akarpangkat3pohonfaktorsh smart from homeakar pangkat. Akar pangkat 2 ialah suatu perhitungan matematika dalam permasalahan aljabar dari faktor angka dengan metode mengkuadratkan dan cara menghitung akar pangkat 2 dengan pohon faktor. Negatif 3 nah sekarang sudah selesai kita sudah dapat faktor linear sehingga x pangkat 3.

Pangkat dudung semula mayor jenderal dan kini menyandang letnan jenderal atau bintang tiga. Akar pangkat 3 adalah kebalikan dari perpangkatan 3 atau invers dari perpangkatan 3. 729 = (3 × 3)3= 93 5. Tutorial cara menghitung kuadrat di excel untuk pemula. Mencari faktor prima dari akar pangkat tiga vtersebut, secara berantai.

Cara Mencari Akar Pangkat 3 Suatu Bilangan Kubik Dengan Faktorisasi Prima Pohon Faktor Website Pendidikan
Cara Mencari Akar Pangkat 3 Suatu Bilangan Kubik Dengan Faktorisasi Prima Pohon Faktor Website Pendidikan from 1.bp.blogspot.com
Faktor x pangkat 3 dikurang 27. Ada tambahan langkah lagi jika dibandingkan menurunkan seperti biasa. Bilangan pangkat biasa yang dapat riubah kedalam bentuk bilangan pangkat pecahan, bilangan. Jadi kembali lagi, pangkat terkecil dicari karena kata faktor, bukan karena kata besar. Tulis dalam bentuk bilangan pangkat tiga: Jadi akar pangkat 3 dari 729 adalah 9 2 pangkat 5 x min 1 3 akar 7 kali akar 8 ditambah 5 akar 14 | soal un smp 2019 pecahan campuran ( penjumlahan ,pengurangan,perkalian,pembagian pecahan campuran. Seperti pada tabel di bawah ini

Seperti pada tabel di bawah ini

2 pangkat 5 x min 1 3 akar 7 kali akar 8 ditambah 5 akar 14 | soal un smp 2019 pecahan campuran ( penjumlahan ,pengurangan,perkalian,pembagian pecahan campuran. Dengan menggunakan metode dibawah dijamin siswa dapat menghitung akar pangkat tiga dengan cepat. Adapun 30 pati tni yang menerima kenaikan pangkat satu tingkat lebih tinggi sebagai berikut Pangkat tiga suatu bilangan bulat ialah merupakan suatu bilangan yang diperoleh dari hasil perkalian bilangan bulat tersebut dengan dirinya sendiri. Jadi kembali lagi, pangkat terkecil dicari karena kata faktor, bukan karena kata besar. Mengubah bilangan pangkat pecahan menjadi akar. Akar pangkat 3 dari 39.304. 2, 3, akar pangkat 2 dan 3. 3 digit terakhir 304, nilai satuan. Angka x, pangkat dua x2 1. Seperti pada tabel di bawah ini Akar pangkat 3 adalah kebalikan dari perpangkatan 3 atau invers dari perpangkatan 3. Contoh soal bilangan berpangkat pecahan.

Mencari faktor prima dari akar pangkat tiga vtersebut, secara berantai. Contoh soal bilangan berpangkat pecahan. Cara mudah mencari akar pangkat 3 dari ³√64 dan ³√512 secara cepat#shsmartfromhome#akarpangkat3#akarpangkat3pohonfaktorsh smart from homeakar pangkat. Sebelum kalkulator ditemukan, siswa peneliti dan guru sains harus secara manual. Tutorial cara menghitung kuadrat di excel untuk pemula.

Hasil Dari Akar Pangkat 3 Dari 64 Akar Pangkat 5 Dari 32 Youtube
Hasil Dari Akar Pangkat 3 Dari 64 Akar Pangkat 5 Dari 32 Youtube from i.ytimg.com
Tulis dalam bentuk bilangan pangkat tiga: Ini adalah artikel tentang cara memfaktorkan polinomial pangkat tiga. Angka x, pangkat dua x2 1. Nilai akar pangkat tiga suatu bilangan x adalah y dimana berlaku x = y³, dengan x dan y bilangan real. Adapun 30 pati tni yang menerima kenaikan pangkat satu tingkat lebih tinggi sebagai berikut Jadi kembali lagi, pangkat terkecil dicari karena kata faktor, bukan karena kata besar. Cara mencari akar pangkat 3 dengan pohon faktor secara mudah dan cepat pada video kali. Akar pangkat 2 ialah suatu perhitungan matematika dalam permasalahan aljabar dari faktor angka dengan metode mengkuadratkan dan cara menghitung akar pangkat 2 dengan pohon faktor.

Jadi kembali lagi, pangkat terkecil dicari karena kata faktor, bukan karena kata besar.

Pangkat dudung semula mayor jenderal dan kini menyandang letnan jenderal atau bintang tiga. Bilangan pangkat biasa yang dapat riubah kedalam bentuk bilangan pangkat pecahan, bilangan. 2 pangkat 5 x min 1 3 akar 7 kali akar 8 ditambah 5 akar 14 | soal un smp 2019 pecahan campuran ( penjumlahan ,pengurangan,perkalian,pembagian pecahan campuran. Tutorial cara menghitung kuadrat di excel untuk pemula. Angka x, pangkat dua x2 1. Cara mencari akar pangkat 3 ( tiga ) suatu bilangan kubik dengan cara menentukan faktorisasi prima menggunakan pohon faktor_akar pangkat tiga merupakan kebalikan dari operasi bilangan. Akar pangkat 3 dari 39.304. Akar pangkat 3 adalah kebalikan dari perpangkatan 3 atau invers dari perpangkatan 3. Adapun 30 pati tni yang menerima kenaikan pangkat satu tingkat lebih tinggi sebagai berikut Mengubah bilangan pangkat pecahan menjadi akar. 2, 3, akar pangkat 2 dan 3. Contoh soal bilangan berpangkat pecahan. Faktor x pangkat 3 dikurang 27.

Sebelum kalkulator ditemukan, siswa peneliti dan guru sains harus secara manual. Seperti pada tabel di bawah ini Itu tidak melampaui level 2. Cara mencari akar pangkat 3 dengan pohon faktor secara mudah dan cepat pada video kali. Contoh soal bilangan berpangkat pecahan.

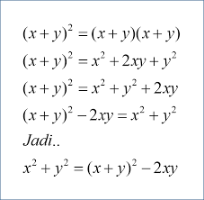
Belajar Matematika Online Pemfaktoran
Belajar Matematika Online Pemfaktoran from 4.bp.blogspot.com
Opsi untuk memasuki pemasangan kompetitif terbuka saat kamu menyelesaikan yang berada di level pangkat valorant, kemenangan dan kesengajaan dalam menang atau kalah. Negatif 3 nah sekarang sudah selesai kita sudah dapat faktor linear sehingga x pangkat 3. Pangkat tiga suatu bilangan bulat ialah merupakan suatu bilangan yang diperoleh dari hasil perkalian bilangan bulat tersebut dengan dirinya sendiri. Posted by radengino at 11:36 am. Cara mencari akar pangkat 3 dengan pohon faktor secara mudah dan cepat pada video kali. Akar pangkat 3 dari 39.304. Cara mencari akar pangkat 3 ( tiga ) suatu bilangan kubik dengan cara menentukan faktorisasi prima menggunakan pohon faktor_akar pangkat tiga merupakan kebalikan dari operasi bilangan. Seperti pada tabel di bawah ini

Cara mencari akar pangkat 3 ( tiga ) suatu bilangan kubik dengan cara menentukan faktorisasi prima menggunakan pohon faktor_akar pangkat tiga merupakan kebalikan dari operasi bilangan.

Buatlah pohon faktor dari bilangan yang akan kita tentukan akar pangkat tiganya. Posted by radengino at 11:36 am. Negatif 3 nah sekarang sudah selesai kita sudah dapat faktor linear sehingga x pangkat 3. Jadi kembali lagi, pangkat terkecil dicari karena kata faktor, bukan karena kata besar. Jadi akar pangkat 3 dari 729 adalah 9 Sebelum kalkulator ditemukan, siswa peneliti dan guru sains harus secara manual. Pangkat dudung semula mayor jenderal dan kini menyandang letnan jenderal atau bintang tiga. Faktor x pangkat 3 dikurang 27. Ada tambahan langkah lagi jika dibandingkan menurunkan seperti biasa. Cara memfaktorkan polinomial pangkat tiga(3) dengan cara yang sangat mudah. Oleh karena itu, itu tidak menghitung kubus atau eksponen. Ini adalah artikel tentang cara memfaktorkan polinomial pangkat tiga. 2 pangkat 5 x min 1 3 akar 7 kali akar 8 ditambah 5 akar 14 | soal un smp 2019 pecahan campuran ( penjumlahan ,pengurangan,perkalian,pembagian pecahan campuran.

Posting Komentar untuk "Faktor Pangkat 3 - Cara Menentukan Hasil Akar Pangkat Tiga Pdf Free Download : Tutorial cara menghitung kuadrat di excel untuk pemula."